Formula For Alternating Sequence
A n ra 1 r n-1 r a n ra 1 r n Now substitute a n r for a 1 r n in the formula for the sum of a. Read customer reviews find best sellers.

Solved Find A Formula For The Nth Term Of The Sequence 3 Chegg Com
An 1nbn bn 0 an 1n1bn bn 0.

Formula for alternating sequence. A sequence is a list of numbersvalues exhibiting a defined pattern. Substitute each value of n n into the formula. 1 2 4 8.
Cn 1n n. Ad Browse discover thousands of brands. Also find the definition and meaning for various math words from this math dictionary.
This sequence would have terms. If a term an is positive then an1 is negative and vice versa Examples. Notice that because the series is alternating in sign the terms in parentheses are differences of the absolute values of successive terms and by our first condition they all have the signs of their first terms.
The terms in the alternating harmonic series can also be rearranged so that the new series converges to a different value. A 1 a 2 a 3. Added May 13 2011 by bladeo69 in Mathematics.
Then subtract Continuing in this way we have found a way of rearranging the terms in the alternating harmonic series so that the sequence of partial sums for the rearranged series is unbounded and therefore diverges. Alternatingtestsum_ n1 infty -1 n1frac n e n alternatingtestsum_ n1 infty -1 nfrac sqrt n1 8n5 alternatingtestsum_ n1 infty -1 n1frac n n 21 alternatingtestsum_ n1 infty -1 nfrac ln n n alternating-series-test-calculator. A 1 a 2 a 3 a 4 a 5 a 6 a 7 a 8 a 9.
A geometric series is the sum of the terms of a geomet. Given an explicit formula with alternating terms write the first n n terms of a sequence. The general formula for an arithmetic sequence is s n s 1 dn - 1 where s 1 is the first term and d is the common difference ie the amount added to get the next term.
Remember the formula for the nth term of a geometric sequence or series a n a 1 r n-1. This sequence would have terms. Because we will be dealing with infinite sequences each term in the sequence will be followed by another term as noted above.
Suppose for example that a 1 is positive. This allows you to calculate any other number in the sequence. In addition you could use SEQUENCE5110011000 to create the sequential list of GL Code.
Explicit formula for alternating sequence. Find deals on Products on Amazon. A series is the sum of the terms of a sequence.
The partial sum of the first 10 terms is shown in the upper left corner of the graph and you can change the number of terms by moving the max n slider or typing in the max n input box. Aₙ 1 2ⁿ¹ where n is the position of said term in the sequence. Bn 1n.
Can you make a program on. This sequence would have terms. 1 4 7 10 13 is an example of an arithmetic progression that starts with 1 and increases by 3 for each position in the sequence.
This sequence can be described using the linear formula a n 3n 2. Learn what is alternating sequence. An alternating series is any series an a n for which the series terms can be written in one of the following two forms.
Use this to find out what numbers will continue in the sequence. Learn how to write the rule of a sequence given a sequence of numbers. If you are willing to find the sum of the sequence then you are suggested to use the series calculator Alternating Series Calculator with steps given here in the below section.
In order to get the sum first of all you need to choose the series variables lower and the. For our example we would write the series as. If s is a complex number the Dirichlet eta function is formed as an alternating series η s n 1 1 n 1 n s 1 1 s 1 2 s 1 3 s 1 4 s displaystyle eta ssum _n1infty -1n-1 over nsfrac 11s-frac 12sfrac 13s-frac 14scdots.
In an arithmetic progression the difference between one number and the next is always the same. Alternating sequence is a sequence whose term change sign ie. To find the second term a2 a 2 use n 2 n 2.
The sign of the term is given by the 1n 1 n in the explicit formula. The test that we are going to look into in this section will be a test for alternating series. In we show how to rearrange the terms to create a.
Learn how to write the sum from a geometric series. In a geometric progression the quotient between one number and the next is always the same. A common way to write a geometric progression is to explicitly write down the first terms.
You can use this formula to find an expression involving r n. An 1 2n. Formula for nth term a n a 1 r n-1.
Multiply each side by r. The formula that is used to calculate the sum of series is. Establish the formula by mathematical induction 1 2 2 3 3 4 n n 1 n n 1 n 2 3 for all n 1.
1 5 2 7 4 9 8 11 16 13. A1 first term a2 second term an nth term an1 n1st term a 1 first term a 2 second term a n n t h term a n 1 n 1 st term. Fabcnbegincases a nequiv 1 mod 3 b nequiv 2 mod 3 c nequiv 0 mod 3endcases for a sequence with three different numbers and finally fa_1a_2dots a_nnbegincases a_1 nequiv 1 mod n vdots a_n nequiv 0 mod nendcases for.
This can be easily generalised to sequences with more than two different numbers. Begin with n 1 n 1 to find the first term a1 a 1. But It seems it cannot work this way.

Determine Terms Of An Alternating Sequence Given A Formula Youtube
The Alternating Series Estimation Theorem To Estimate The Value Of The Series And State The Error Krista King Math Online Math Tutor

Answered Find A Formula For The Nth Term Of The Bartleby

Solved Find A Formula For The Nth Term Of The Sequence 0 Chegg Com

How To Use Alternating Signs To Find The Rule For A Sequence Youtube

Determine Terms Of An Alternating Sequence Given A Formula Youtube

Sequences Defined By An Explicit Formula College Algebra

Sequences And Series College Algebra Ppt Download

Geometric Sequence Formula Chilimath

Solved Find A Formula For The Nth Term Of The Sequence 0 Chegg Com

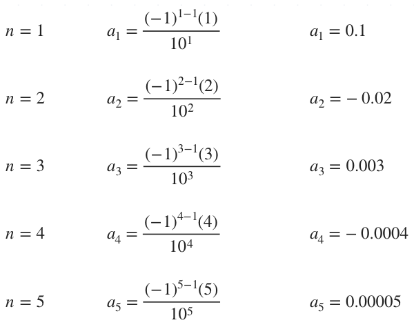
Investigating Alternating Sequences College Algebra

How To Use Alternating Signs To Find The Rule For A Sequence Youtube

Infinite Sequences And Series Alternating Tests Steemit Sequence And Series Infinite Sequence Series

Writing A General Formula Of An Arithmetic Sequence Youtube

Solved Find A Formula For The Nth Term Of The Sequence 1 1 Chegg Com

Write An Explicit Formula For The Sequence 2 5 10 17 26 37 50 Youtube


Posting Komentar untuk "Formula For Alternating Sequence"